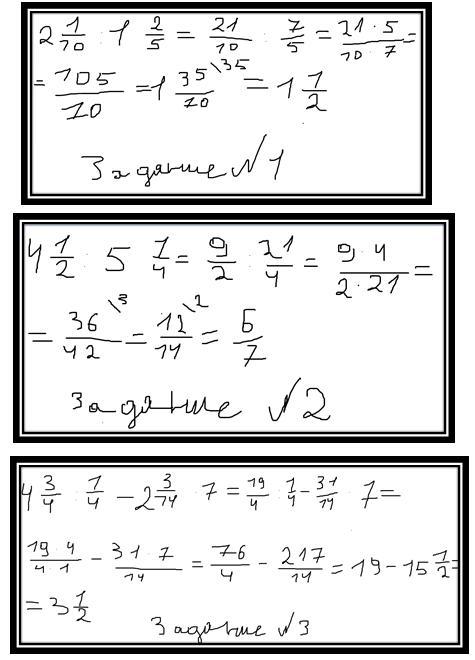
2 целых 1 десятую : 1 целая 2 пятых=
4 целых 1 второю : 5 целых 1 четвертую=
4 целых 3 четвертых : 1 четвертую-2 целых 3 четырнадцатых × 7=
Ответы
Ответ дал:
0
Ответ:
1) 1 целая 1 вторая
2) 6 седьмых
3) 3 целых 1 вторая
Пошаговое объяснение:
Пошаговое объяснение в картинке, рисовал в пейнте, извини за качество :)
Приложения:

Ответ дал:
0
1)

2)

3)

(1 действие)

(2 действие)

(3 действие)
2)
3)
(1 действие)
(2 действие)
(3 действие)
Вас заинтересует
1 год назад
2 года назад
2 года назад
3 года назад
3 года назад
8 лет назад
8 лет назад