1. Найдите значения выражения (16*10²)²*(13*10⁴)
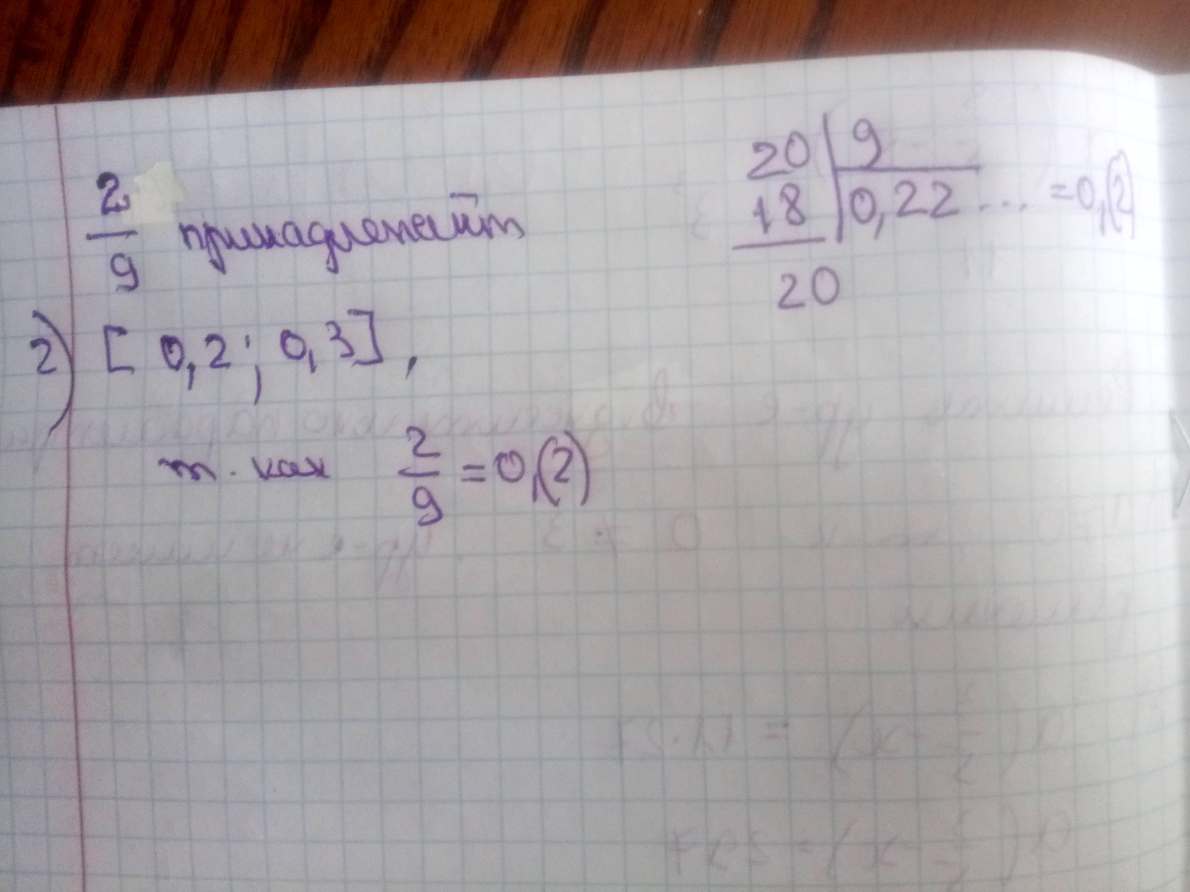
2. Какому из данных промежутков принадлежит число 2(дробь)9
1) [0,1:0,2] 2) [0.2: 0,3] 3) [0,3:0,4] 4) [0.4:0,5]
Ответы
Ответ дал:
1
Решение задания приложено
Приложения:


Ответ дал:
1
Ответ:
1)
Вас заинтересует
1 год назад
2 года назад
3 года назад