Ответы
Ответ дал:
1
Ответ:
Пошаговое объяснение:
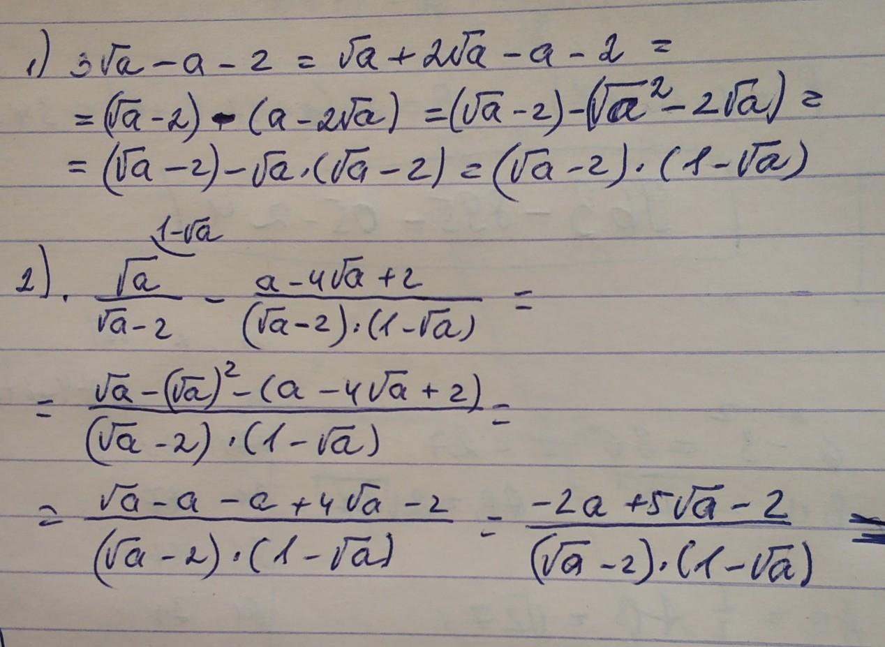
решение во вложении
Приложения:


u8gagsh:
Спасибо большое.
Ответ дал:
1
Ответ:
Пошаговое объяснение:
Приложения:

Вас заинтересует
1 год назад
1 год назад
2 года назад
2 года назад
3 года назад