• Предмет: Алгебра
  • Автор: nikolenkoregina
  • Вопрос задан 2 года назад

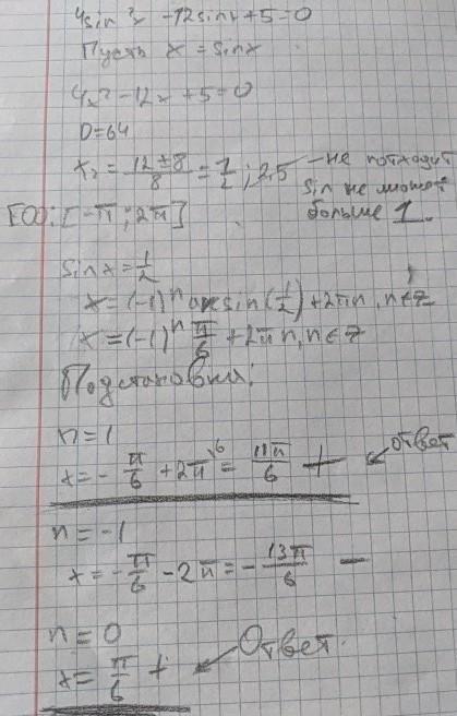
Помогите с ТРИГОНОМЕТРИЕЙ ,ПОЖАЛУЙСТА!

Приложения:

Ответы

Ответ дал: hesyoloo
1

Ответ:

 \frac{\pi}{6}  \\  \frac{11\pi}{6}

Как-то так, это 9.

Приложения:
Вас заинтересует