вычислить длину дуги кривой при помощи интеграла

000LeShKa000:
поэтому достаточно рассмотреть случай a,b > 0
Ответы
Ответ дал:
1
Пусть Тогда
. Также, т.к. корень - число неотрицательное, то
.
Теперь заменим на противоположное число
. Заметим, что теперь
и каждому значению функции, соответствующее каждому значению аргумента, соответствует противоположный аргумент. Проведя аналогичные действия для
, заметим, что изменение знака параметров на противоположные лишь отображает график относительно координатных осей, но не меняют длину кривой. Тогда достаточно найти длину кривой для положительных
, а затем в получившейся формуле заменить
на
,
на
.
Теперь запишем параметрическое задание функции.
Пусть . Тогда
,
.
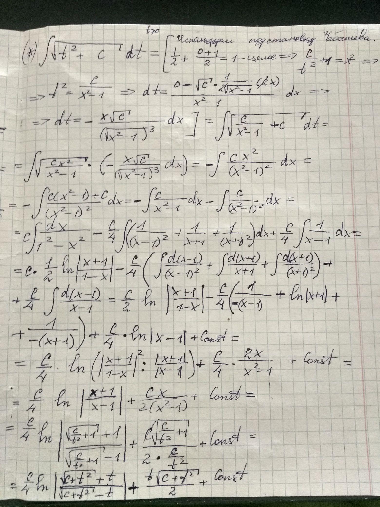
Вычисление длины кривой на фото 1 и 2. На 3 фото вычисление вспомогательного интеграла.
Теперь остается лишь подставить модули параметров. Получаем
Приложения:



Вас заинтересует
1 год назад
2 года назад
2 года назад
3 года назад
3 года назад
8 лет назад