не метод photomath.
Приложения:

Evgenia4836:
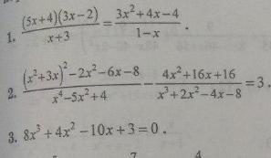
какой номер?
Ответы
Ответ дал:
1
Решение задания приложено
Приложения:



Вас заинтересует
1 год назад
2 года назад
3 года назад
8 лет назад