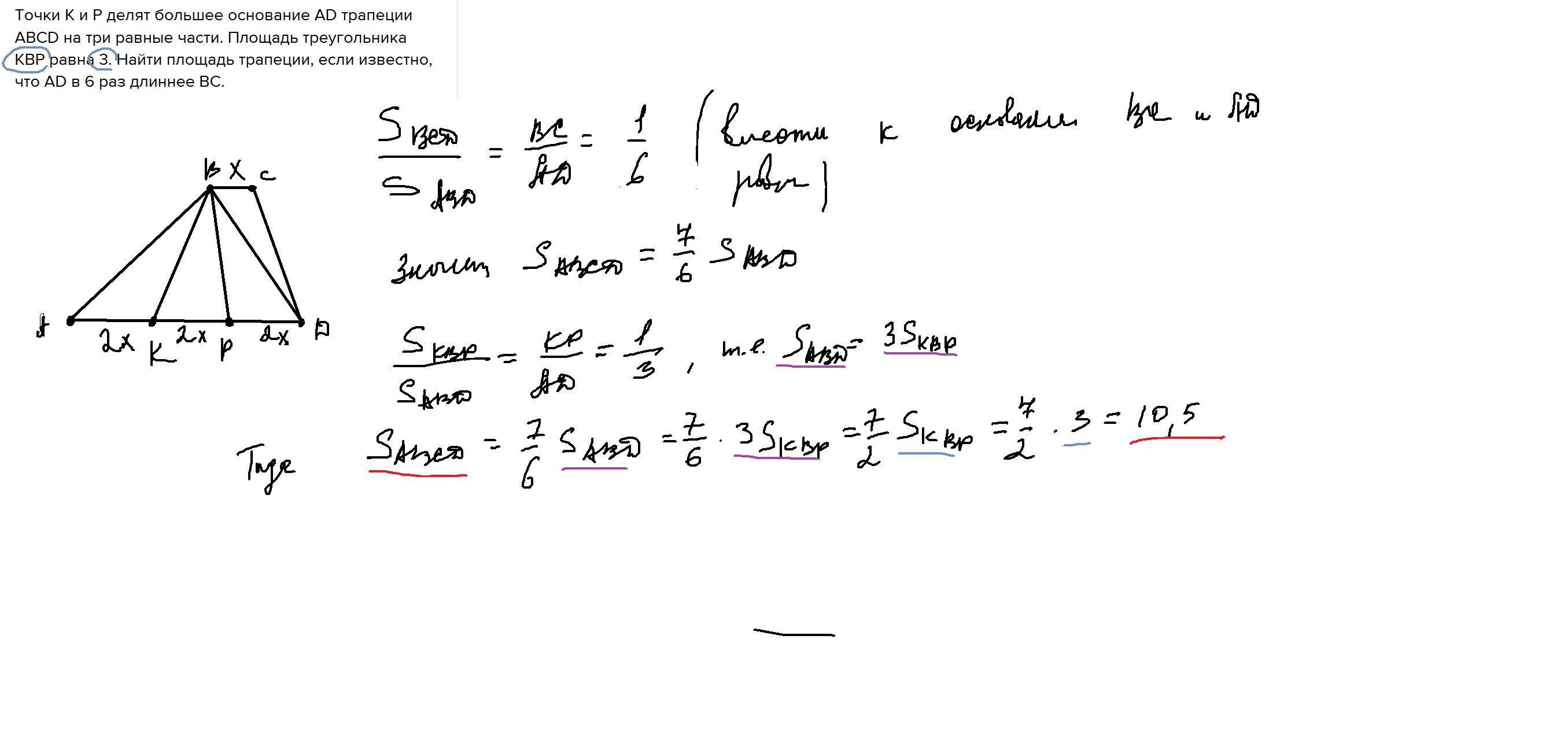
Точки К и Р делят большее основание АD трапеции АВСD на три равные части. Площадь треугольника КВР равна 3. Найти площадь трапеции, если известно, что АD в 6 раз длиннее ВС.
Ответы
Ответ дал:
1
Ответ:Точки К и Р делят большее основание АD трапеции АВСD на три равные части.
Объяснение:
Приложения:

Вас заинтересует
1 год назад
2 года назад
2 года назад
3 года назад
3 года назад
8 лет назад