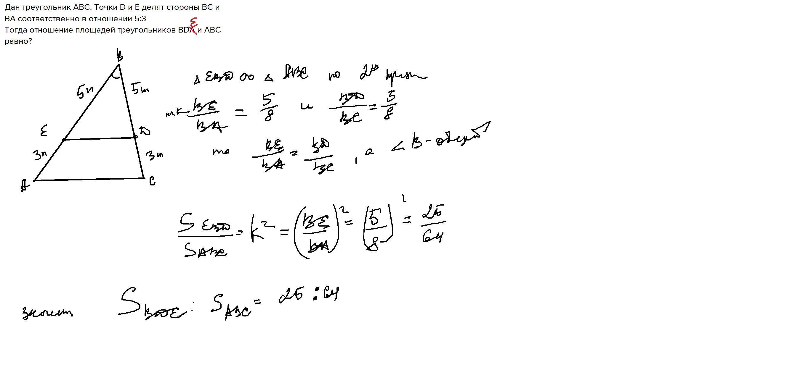
Дан треугольник ABC. Точки D и E делят стороны BC и BA соответственно в отношении 5:3
Тогда отношение площадей треугольников BDA и ABC равно?
nabludatel00:
условие задачи СОВЕРШЕННО некорректно. Необходимо четко указывать, начиная с какой точки считать отношение. Т.к. таких делений может быть четыре. Либо четко указывать, что ВД:ДС=ВЕ:ЕА=5:3. Если это не сказано, то решений, как я показал выше, несколько...
Ответы
Ответ дал:
0
Ответ:Дан треугольник ABC. Точки D и E делят стороны BC и BA соответственно в отношении 5:3
Тогда отношение площадей треугольников BDA и ABC равно?
Объяснение:
Приложения:
Вас заинтересует
2 года назад
2 года назад
2 года назад
2 года назад
3 года назад
3 года назад
9 лет назад