• Предмет: Математика
  • Автор: dfgrtyhdg2112433
  • Вопрос задан 2 года назад

решите пж 10 баллов христа ради

Приложения:

Simba2017: фото из учебника есть?
dfgrtyhdg2112433: нету
Simba2017: ошибка наверняка, не может быть х- и числом и градусом
Аноним: В радианах pi=3,14 число, именно его и рассматриваем. Есть же задания, например sin1, когда не указаны градусы.
Аноним: Я на другой страничке бросила решение. Кто свободен, проверьте. Мало ли что.
viva34: ну ради христа-то точно,не помогу

Ответы

Ответ дал: Аноним
2

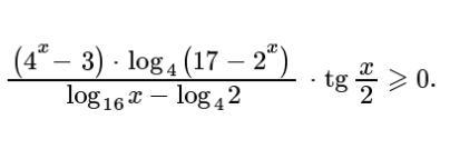
Данное неравенство содержит ошибку (в этом я полностью уверен), и правильная запись представлена в приложении, полагаю, автор вопроса уж точно согласится со мной.

ОДЗ:

  • 17 - 2ˣ > 0 ⇔ х < log₂17
  • x/2 ≠ π/2 + πk  ⇔ x ≠ π + 2πk, k ∈ Z
  • log₁₆x ≠ log₄2 ⇔ log₁₆x ≠ 1/2 ⇔ x ≠ 4
  • x > 0

В итоге получаем интервал (0;log₂17), но не включаем точку х₁ = 4 и х₂ = π (если k ≥ 1, то π + 2πk ≥ 3π > 5 > log₂17)

ОДЗ: (0;π) U (π;4) U (4;log₂17)

Данное неравенство легко решается методом интервалов, находим нули функции:

  • 4ˣ - 3 = 0 ⇔ x₁ = log₄3
  • log₄(17 - 2ˣ) = 0 ⇔ 17 - 2ˣ = 1 ⇔ 2ˣ = 16 ⇔ x₂ = 4
  • log₁₆x - log₄2 = 0 ⇔ x₃ = 4
  • tg(x/2) = 0 ⇔ x/2 = πk ⇔ x = 2πk, k ∈ Z (корни не входят в ОДЗ)

Отмечаем на числовой прямой выколотые точки: 0 , π , 4 , log₂17, закрашена только точка log₄3

  • На промежутке (0; log₄3] знак +
  • на [log₄3 ; π) знак -
  • На (π;4) знак +
  • на (4;log₂17) знак +

И выбираем те промежутки, где знак +, и ответом данного неравенства будут являться следующие промежутки:

Ответ: (0; log₄3] U (π;4) U (4;log₂17)

Приложения:
Вас заинтересует