• Предмет: Математика
  • Автор: gdthb
  • Вопрос задан 2 года назад

Срочно, нужна помощь
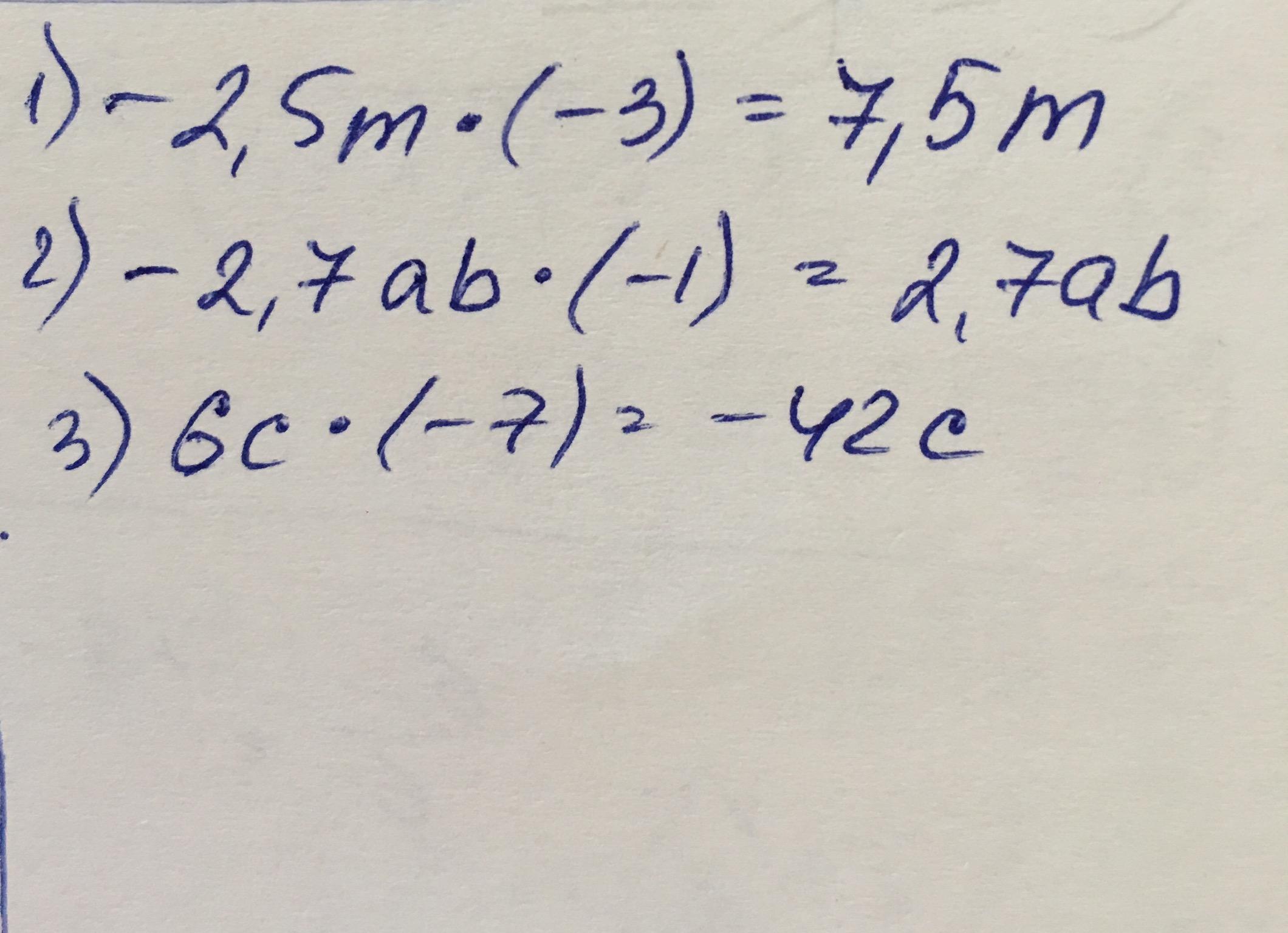
-2,5m•(-3) = ?
-2,7ab•(-1) = ?
6c•(-7) = ?

Ответы

Ответ дал: artemevaan
3

Решение во вложение

Приложения:
Ответ дал: Dedagenn
1

1) =7.5m

2) =2.7ab

3) =-42c

Вас заинтересует