Ответы
Ответ дал:
5
Ответ:
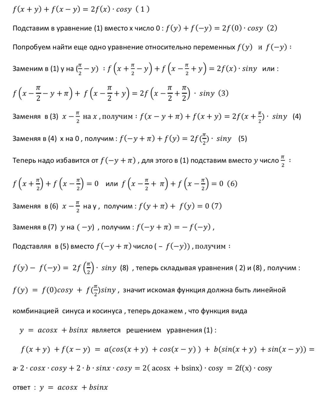
Объяснение: Решение :
Приложения:

Guppy2016:
Спасибо за решение)
Вас заинтересует
1 год назад
1 год назад
2 года назад
2 года назад
3 года назад
3 года назад