Помогите решить систему уравнений "а" способом подстановки, а систему уравнений "б" способом сложения
Приложения:

Ответы
Ответ дал:
1
Объяснение:
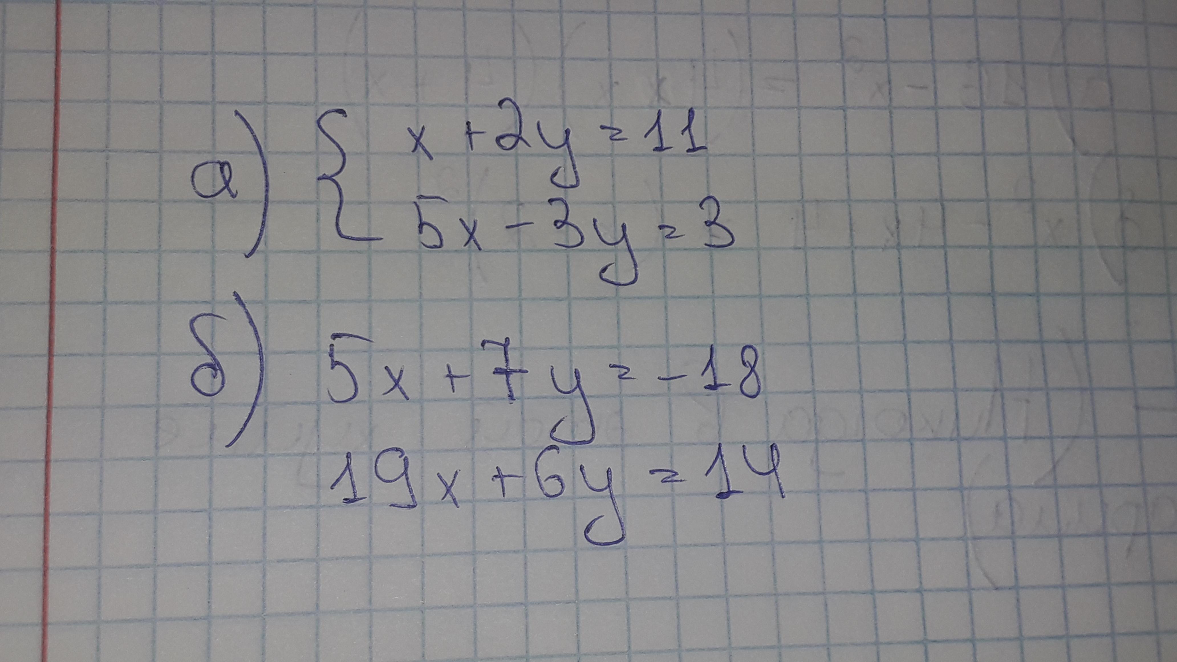
х+2у=11
5х-3у=3
х=11-2у
5(11-2у)-3у=3
55-10у-3у=3
55-13у=3
13у=55-3
у=52/13=4
х=11-2•4=11-8=3
Ответ: (3; 4)
5х+7у=-18
19х+6у=14
5х+7у+19х+6у=14-18
24х+13у=-4
24х=-4-13у
х=(-4-13у)/24=-1/6 -13/24 у
5(-1/6 -13/24 у)+7у=-18
-5/6 -65/24 у+ 168/24 у=-18
103/24 у- 5/6=-18
103/24 у=5/6 -108/6
у=-103/6 •24/103=-4
5х+7•(-4)=-18
5х-28=-18
5х=28-18
х=10/5=2
Ответ: (2; -4)
Аноним:
Спасибо вам большое)))
Вас заинтересует
1 год назад
1 год назад
2 года назад
2 года назад
3 года назад
3 года назад