Ответы
Ответ дал:
2
Решение во вложение.
Приложения:

Ответ дал:
1
Ответ:
Пошаговое объяснение:
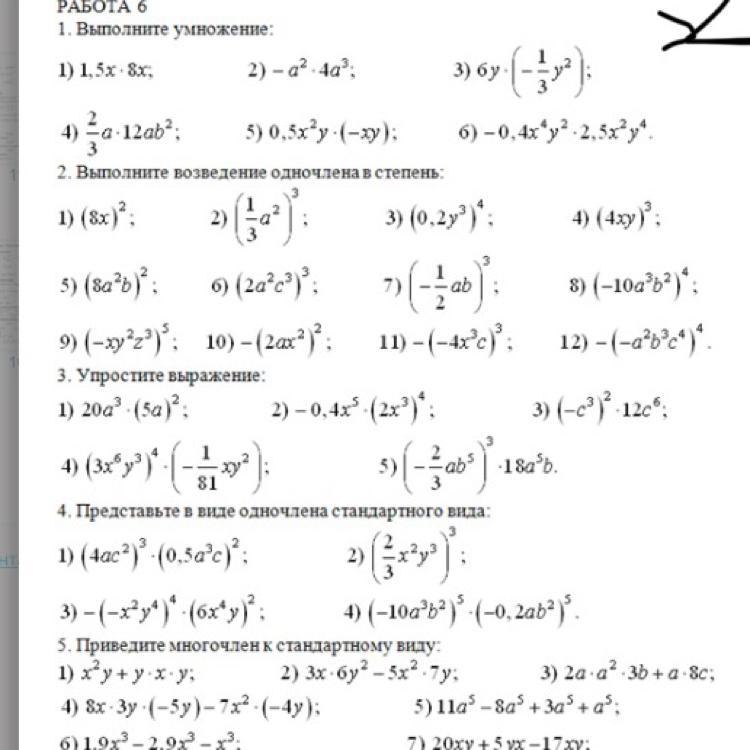
3. 1)500а^5; 2)-6.4х^17; 3)12с^12;
4)-х^25у^14; 5)-16а^8b^16
4. 1)16a^9c^8; 2)(8/27)x^6y^9; 3)-36x^16y^18; 4)32a^20b^20
Maryam2007m:
Помогите мне с математикой пожалуйста ☆
Вас заинтересует
1 год назад
2 года назад
2 года назад
3 года назад
8 лет назад
8 лет назад