• Предмет: Математика
  • Автор: toiltalivaerez
  • Вопрос задан 2 года назад

Помогите решить
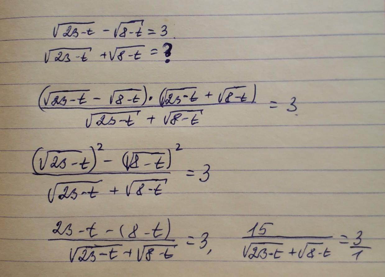
если √23 -t - √8 -t =3,то√23-t+√8-t=?

Приложения:

Ответы

Ответ дал: kirichekov
0

Ответ:

= 5

Пошаговое объяснение:

решение во вложении

Приложения:
Вас заинтересует