• Предмет: Алгебра
  • Автор: madelya08
  • Вопрос задан 2 года назад

Помогите решить 22!!! Пожалуйста!!!

Приложения:

Ответы

Ответ дал: elyalevitan
0

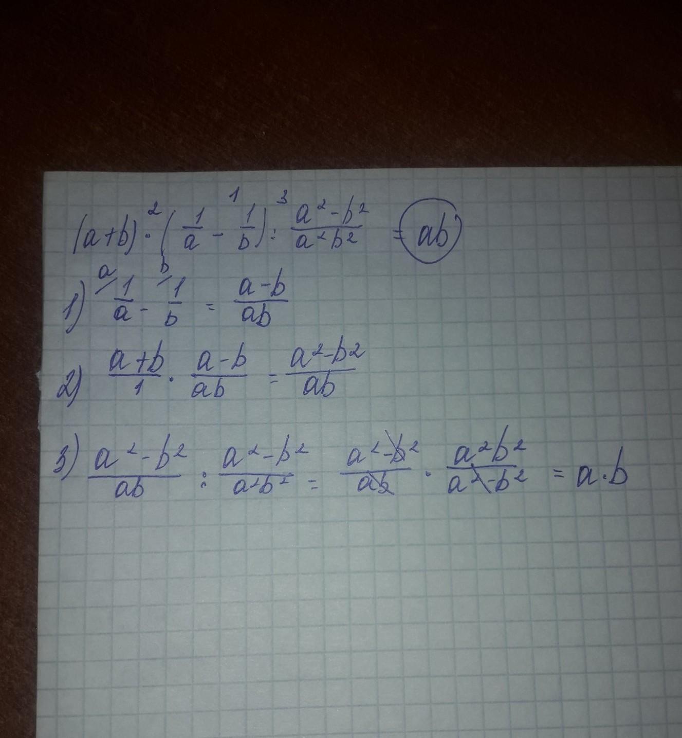
Решение и ответ во вложении

Приложения:

natalka123456789: в первом действии у Вас ошибка
Ответ дал: natalka123456789
1

Ответ и решение во вложении

Приложения:
Вас заинтересует