Ответы
Ответ дал:
1
Решение прикреплено ниже
Приложения:

dima3927:
спамибо
Ответ дал:
1
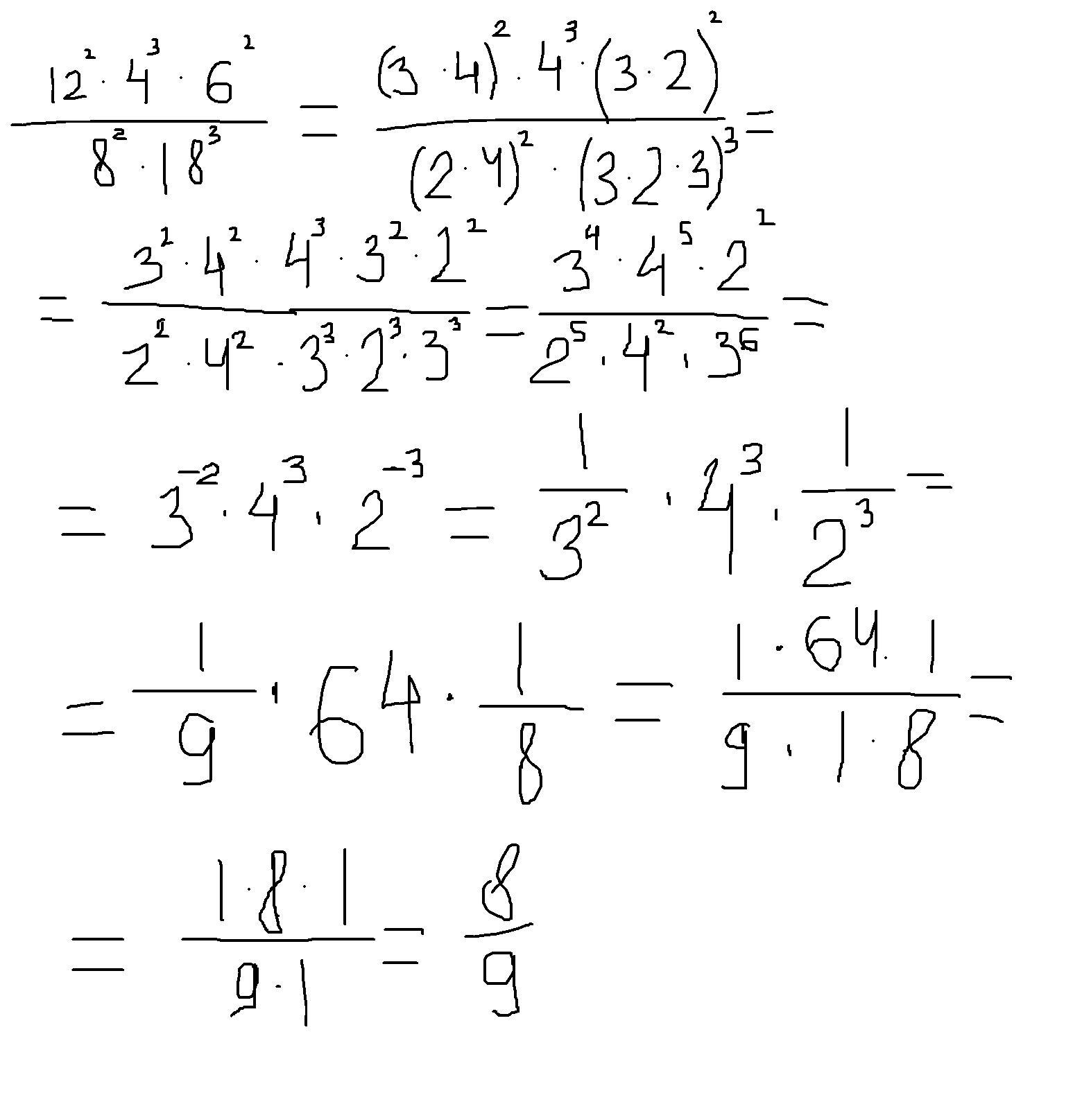
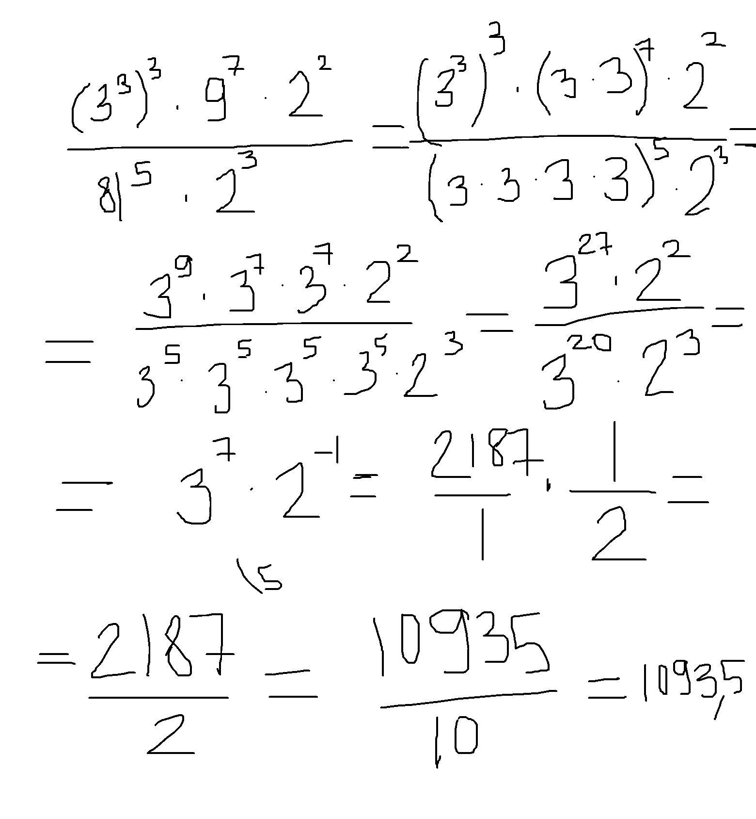
Ответ:
на фото
соответственно 1 фото 1 пример, 2 фото 2 пример
сорян в пейнте не очень удобно писать мышкой
Приложения:


Вас заинтересует
1 год назад
1 год назад
2 года назад
2 года назад
3 года назад
3 года назад