• Предмет: Алгебра
  • Автор: romansalitanov
  • Вопрос задан 2 года назад

Заранее спасибо за ответ.​

Приложения:

Ответы

Ответ дал: Evgenia4836
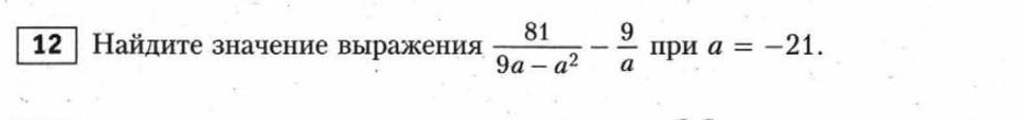
1

81/a(9-a) - 9/a= (81-9(9-a))/a(9-a)= (81-81+9a)/a(9-a)= 9/(9-a)

9/(9+21)= 9/30= 3/10= 0,3

Вас заинтересует