• Предмет: Математика
  • Автор: alexandra6294
  • Вопрос задан 2 года назад

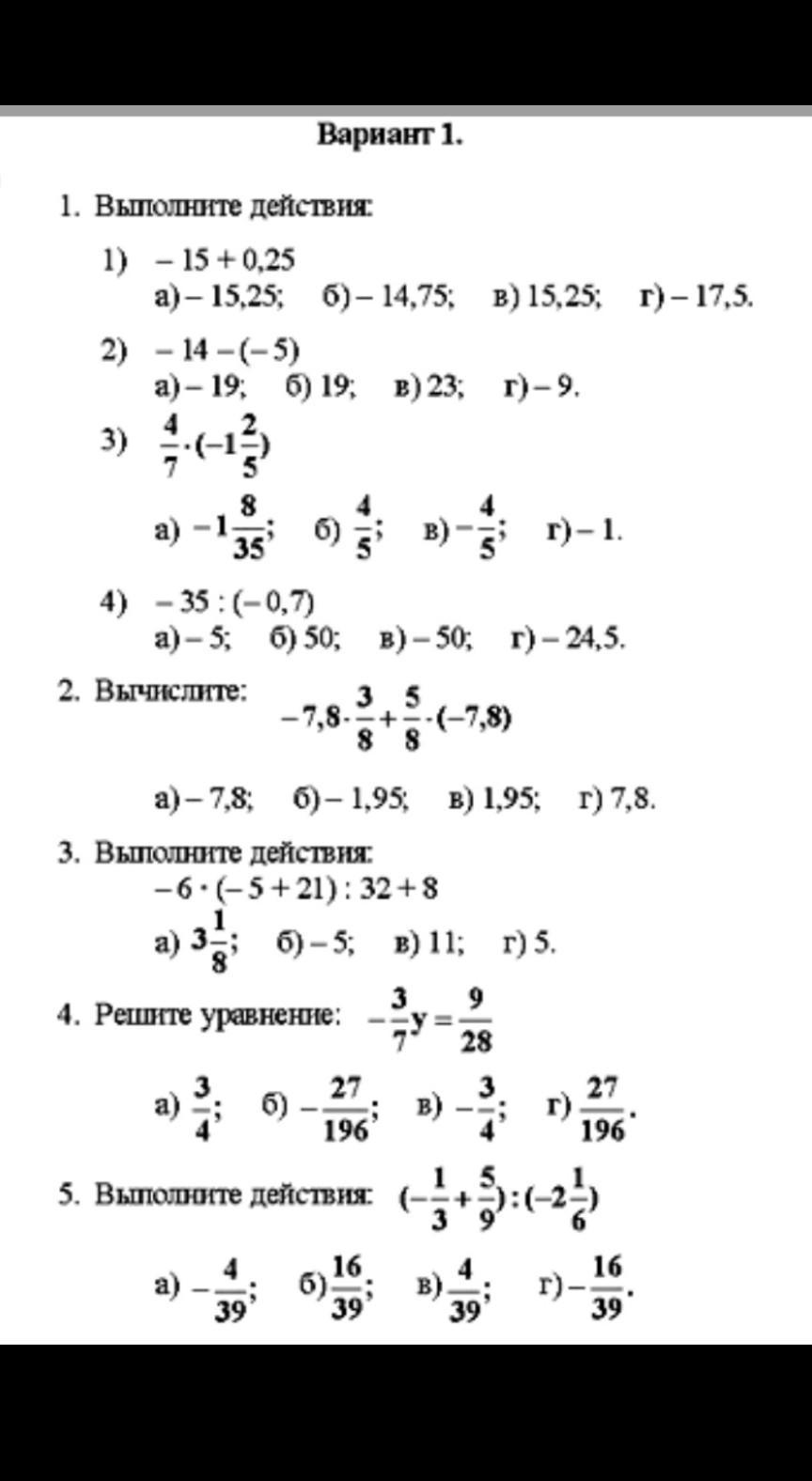
Помогите пожалуйста​

Приложения:

Ответы

Ответ дал: SmartLike
1

Пошаговое объяснение:

1.1)б -{15+0.25}=

1.2)а -{14+5}=

1.3)в -{4\7 *7\5}= семёрки сокращаются и остаётся -4\5

1.4)б 35:0.7= минус на минус плюс

2)а {3\8+5\8}×{-7.8}=1×{-7.8}=-7.8

3)г -96:32+8=-3+8=5

4)

5)не решается так как тут нет такого варианта 48\39


alexandra6294: а решить по шагово решить можно
SmartLike: ты в каком классе?
SmartLike: всё написала
Вас заинтересует