Ответы
                                            Ответ дал: 
                                                                                            
                                                    
                                                
                                                                                    
                                        
                                            
                                                
                                                
                                                
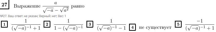
                                                    1
                                                
                                            
                                        
                                    Ответ: №2 .
Объяснение:
                    antonovm:
                    нет ,  0  и -1  в одэзу  не входят и если а равно произведению  двух корней , то a > 0 , а это не так
                
            
                    
                    да
                
            
                    
                    -1 надо исключить и ответ неверный
                
            
                    
                    при делении корня на отрицательное число положительное получится не может !
                
            Вас заинтересует
                
                        1 год назад
                    
                
                        1 год назад
                    
                
                        2 года назад
                    
                
                        3 года назад
                    
                
                        3 года назад
                    
                