• Предмет: Математика
  • Автор: Olalaspb
  • Вопрос задан 2 года назад

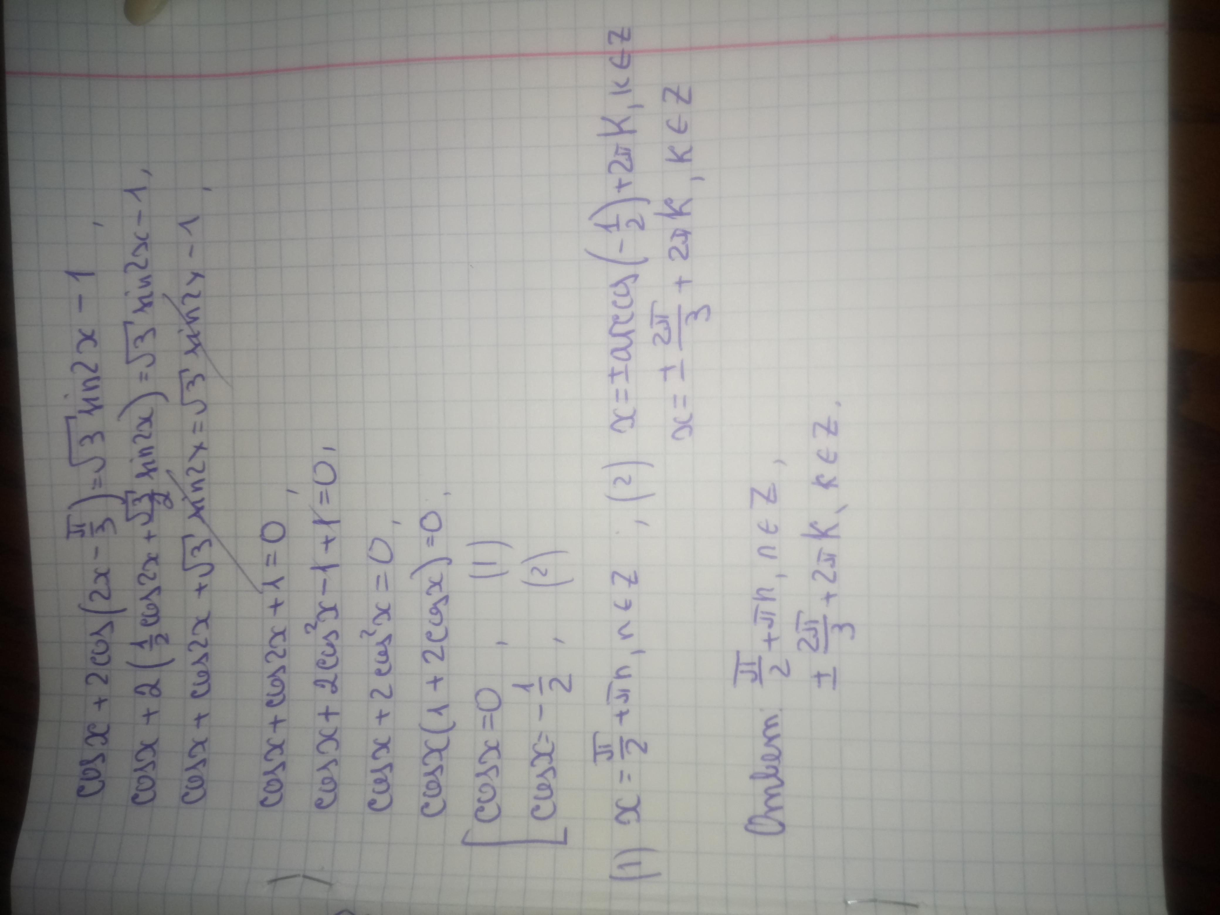
Добрый вечер! помогите решить уравнение

Приложения:

Ответы

Ответ дал: Аноним
1

Решение задания приложено

Приложения:
Вас заинтересует