Ответы
Ответ дал:
2
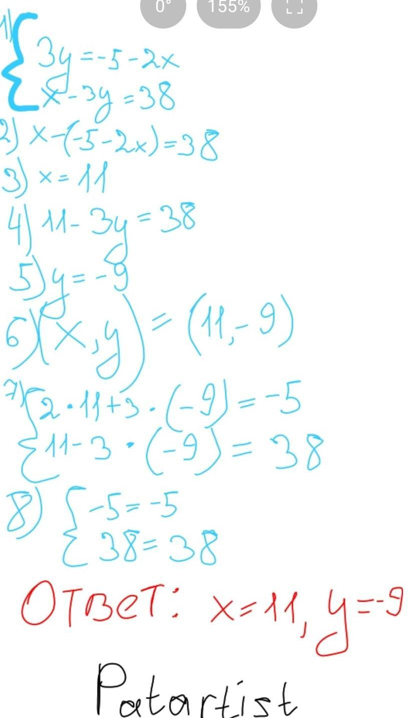
2x+3y=-5
x-3y=38
2x+x+3y-3y=-5+38
y= (-5-2x)/3
3x=33
y= (-5-2x)/3
x=11
y= -9
Ответ дал:
2
Ответ:
смотрите во вложении.
снизу вложения подпись, как доказательство авторства.
Приложения:

Evgenia4836:
в ответе минус потеряли
Вас заинтересует
1 год назад
1 год назад
2 года назад
2 года назад
3 года назад
8 лет назад
8 лет назад