Помогите пожалуйста решить 3 уравнения с логарифмами
1.
(основание - первая скобка)
2. 
3.
LFP:
1. что именно является основанием логарифма (какая скобка-первая или вторая) ?
Ответы
Ответ дал:
1
Ответ:
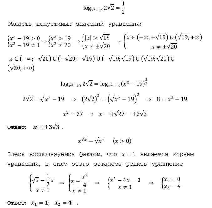
решение представлено на фото
,
Приложения:

Ответ дал:
1
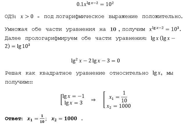
Ответ: фото
Пошаговое объяснение:
Приложения:


Вас заинтересует
1 год назад
1 год назад
2 года назад
3 года назад
3 года назад
8 лет назад