• Предмет: Геометрия
  • Автор: pavel3563
  • Вопрос задан 2 года назад

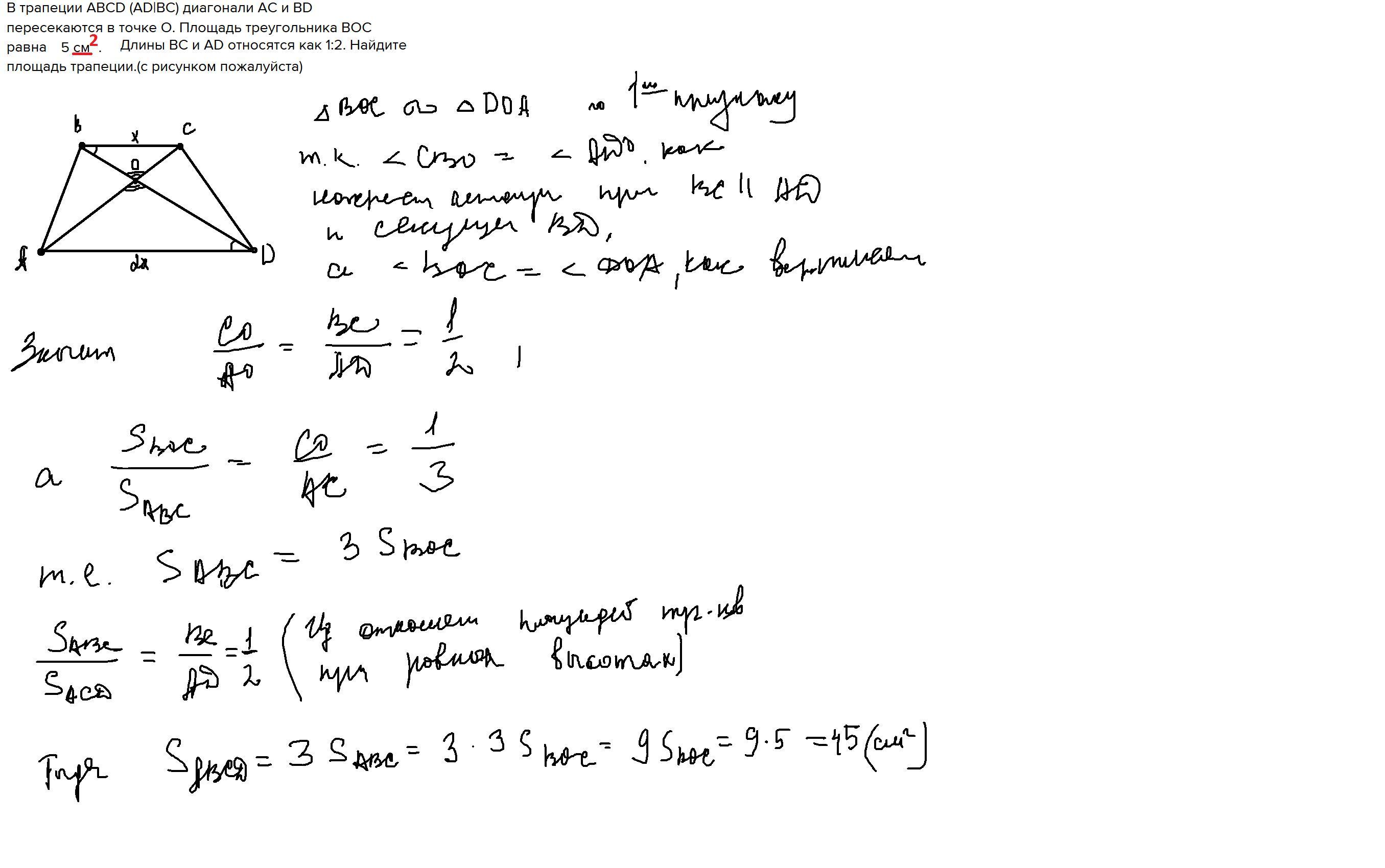
В трапеции АВСD (AD|BC) диагонали АС и ВD пересекаются в точке О. Площадь треугольника ВОС равна 5 см. Длины ВС и AD относятся как 1:2. Найдите площадь трапеции.(с рисунком пожалуйста)

Ответы

Ответ дал: vikll
1

Ответ:

Объяснение:В трапеции АВСD (AD||BC) диагонали

Приложения:
Вас заинтересует