• Предмет: Математика
  • Автор: nikitaalhimyonok
  • Вопрос задан 2 года назад

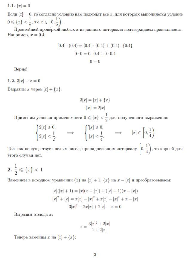
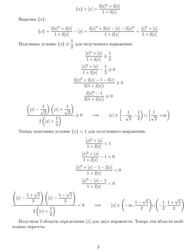
обозначим (x) - ближайшее к x целое число (считаем, что (n+1/2)=n+1, где n - целое). Найдите все действительные x, для которых [x](x)=[x]{x}+(x){x}.

Ответы

Ответ дал: antonafanasev
1

Так как моё решение оказалось слишком длинным, сайт отказался принимать чистый Tex, пришлось компилировать в свой файл и нарезать в изображения.

Успехов! Задача явно олимпиадная.

Приложения:
Вас заинтересует