• Предмет: Алгебра
  • Автор: adajkjsjk
  • Вопрос задан 2 года назад

Помогите прошу очень нужно!

Приложения:

Ответы

Ответ дал: lakOR555
0

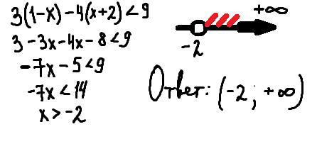
3-3х-4х-8<9

-7x-5<9

-7x<9+5

-7x<14 (так как минус, то меняем знак)

x>-2

Ответ дал: maymr
1

____________________________

Приложения:
Вас заинтересует