• Предмет: Алгебра
  • Автор: kim579
  • Вопрос задан 2 года назад

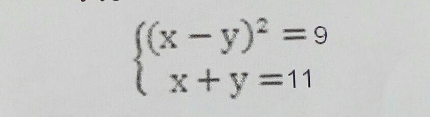
помогите! решить систему уравнений
спасибо ​

Приложения:

Ответы

Ответ дал: aastap7775
1

(x-y)² = 9 ⇒ x-y = ±3

1) Первый случай с "+":

x - y = 3             2x = 14 ⇒ x = 7

x + y = 11            2y = 8 ⇒ y = 4

2) Второй случай с "-":

x - y = -3            2x = 8 ⇒ x = 4

x + y = 11            2y = 14 ⇒ y = 7

Ответ: (7;4) (4;7)

Вас заинтересует