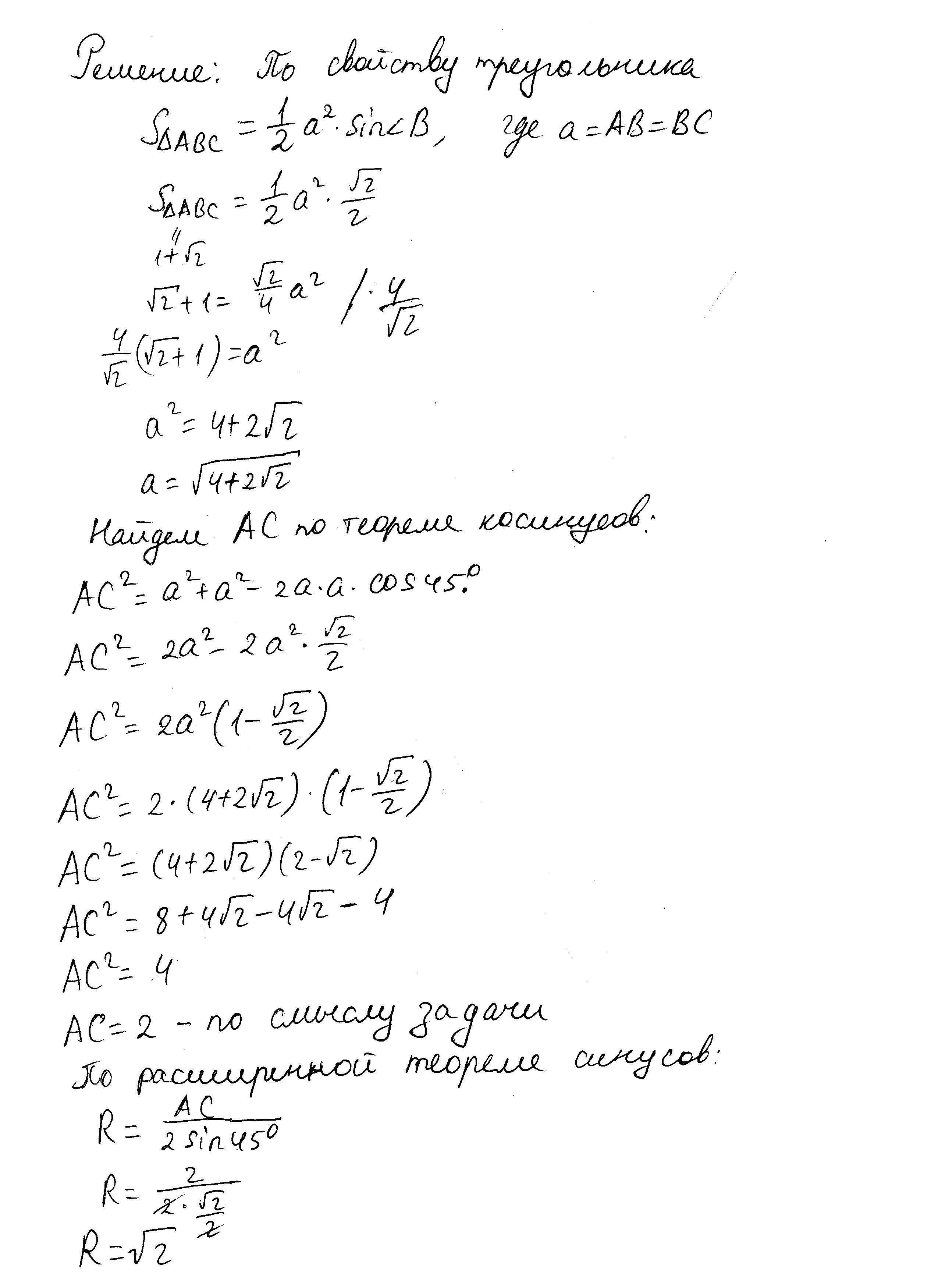
если площадь вписанного в окружность равнобедренного треугольника с углом 45° при вершине составляет
+ 1, то радиус этой окружности равен
Ответы
Ответ дал:
1
Ответ:
Объяснение:
Решение в приложении
Приложения:


Вас заинтересует
1 год назад
2 года назад
2 года назад
3 года назад
3 года назад
8 лет назад