Ответы
По формуле приведения:
По основному тригонометрическому тождеству:


Не претендую на лучший ответ. Но должен был отвечать гораздо раньше, если бы не товарищ, который дал ответ-спам.
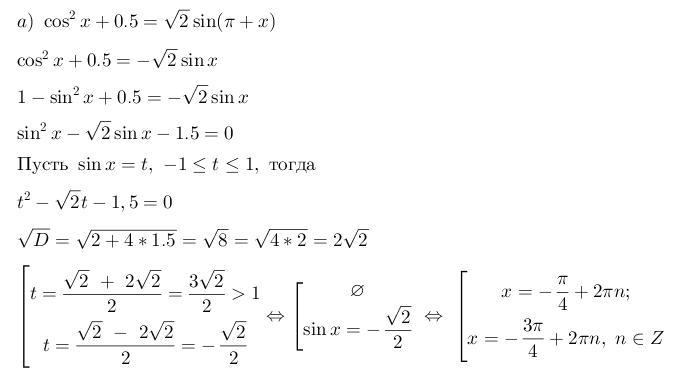
Итак, есть уравнение
Естественно, его необходимо преобразовать. Так в правой части явно будет синус, то и левую нужно к нему подогнать. Пользуемся следствием основного тригонометрического тождества
Правую часть надо преобразовать по формуле приведения.
Напомню, как вывести любую формулу приведения.
1. При необходимости отбрасываем лишние периоды у функций.
и т.д.
2. Смотрим на второе слагаемое в скобке. Если оно кратно числу , то функция не меняется, если кратно
, то синус меняется на косинус, косинус на синус и т.д.
3. Представляем, что наш x находится в I координатной четверти на окружности, т.е. там где и синус, и косинус положительны.
Мысленно прибавляем туда второе слагаемое, которое не связано с переменной и смотрим, где мы оказались. Анализируем знак ИСХОДНОЙ функции. Если "-", то ставим "-", если "+", то оставляем все.
1. Лишних периодов нет
2. Кратно пи, функцию не меняем
3. Из I четверти попадаем в III, там синус отрицателен, знак "-" ставим
Итого
Осталось решить уравнение
Это квадратное уравнение относительно sinx, так и решим его относительно sinx
Уравнения мы решаем на множестве действительных чисел, а здесь синус ограничен по модулю, а , поэтому здесь решений нет, а вот в первом уравнении - пожалуйста:
Это было решение к пункту а.
Теперь находим корни на
Сделаем это аналитически (хотя на ЕГЭ лучше нарисовать окружность, чтобы эксперты точно не придрались).
Аналиризуем первую серию решений:
То есть отсюда берем k=0, k=1 и k=2:
Теперь анализируем вторую серию решений:
Здесь берем n=0, n=1, n=2:
Теперь можно писать ответ.
Ответ: а)
б)