помогите решить неравенство
Приложения:

antonovm:
у меня [ -2 ; 0] получилось , так ?
Ответы
Ответ дал:
0
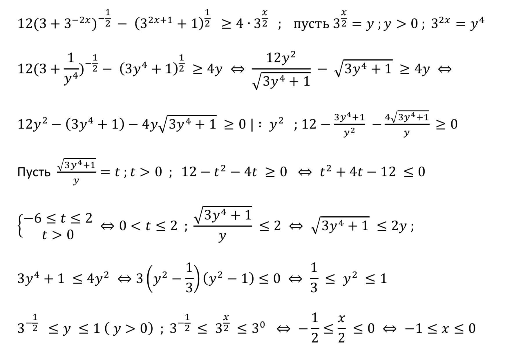
Ответ:
[-1 ; 0 ]
Объяснение: Решение : /////////////////////
Приложения:

Вас заинтересует
1 год назад
2 года назад
2 года назад
3 года назад
3 года назад
8 лет назад