• Предмет: Математика
  • Автор: Kotorog
  • Вопрос задан 2 года назад

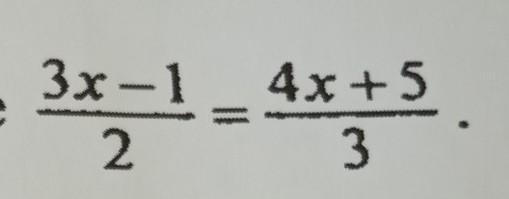
решите уравнение пожалуйста см вложение​

Приложения:

Ответы

Ответ дал: Iryn95
1

Ответ:

х=13

Пошаговое объяснение:

(3х-1)/2=(4х+5)/3

3*(3х-1)=2*(4х+5)

9х-3=8х+10

9х-8х=10+3

х=13

проверка

(3*13-1)/2=(4*13+5)/3

38:2=57/3

19=19

Ответ дал: Аноним
0

Пошаговое объяснение:

 \frac{3x - 1}{2}  =  \frac{4x + 5}{3}  \\  \\ 3(3x - 1) = 2(4x + 5) \\ 9x - 3 = 8x + 10 \\ 9x - 8x = 10 + 3 \\ x = 10 + 3 \\ x = 13

Вас заинтересует