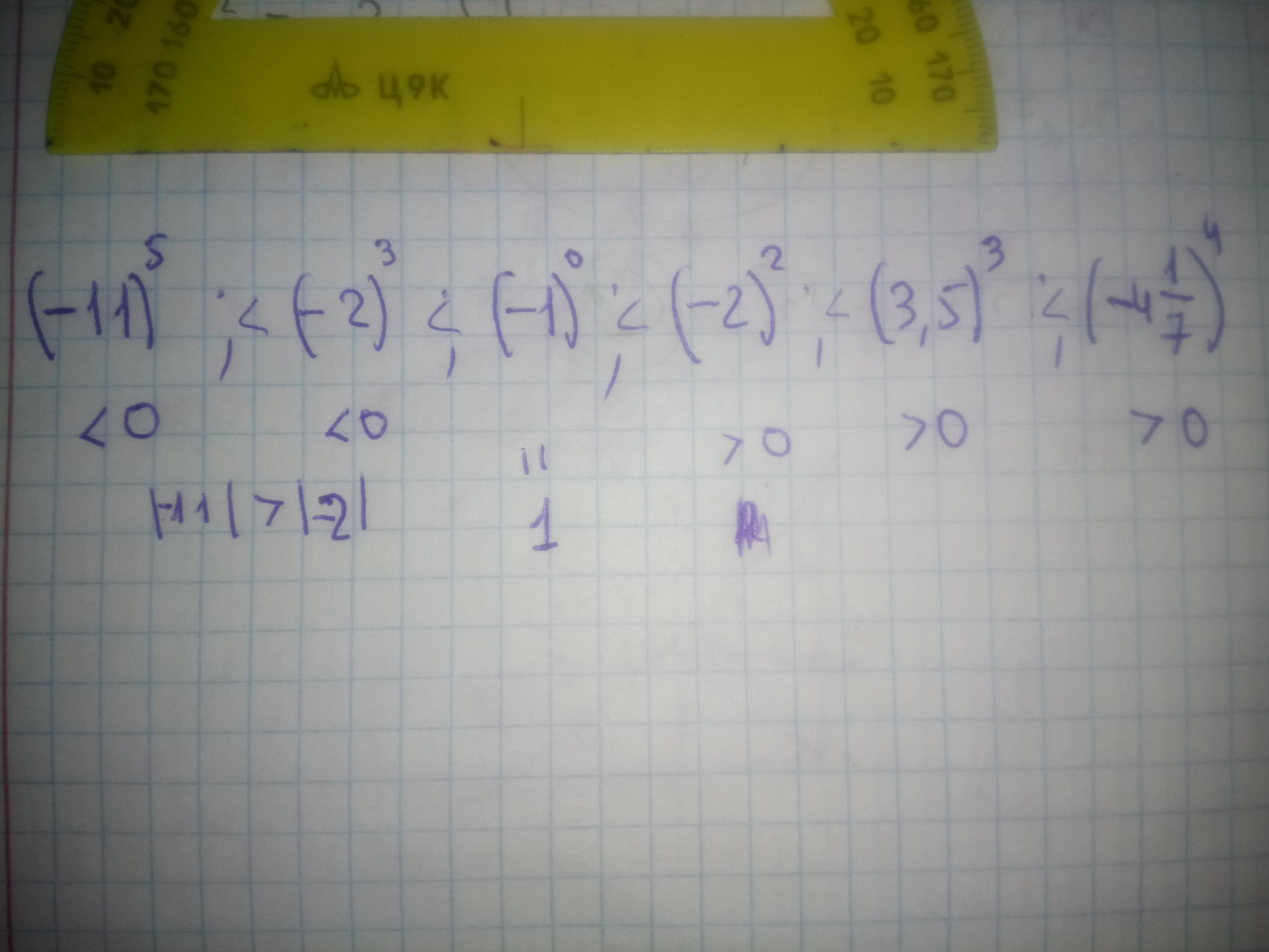
не производя вычислений расположите в порядке возрастания числа (3,5)^3 (-2)^2 (-2)^3 (-4 1/7)^4 (-11)^5
заранее спасибо
Приложения:

Ответы
Ответ дал:
4
Решение задания приложено
Приложения:

Ответ дал:
2
Ответ:
Смотрим по степеням у отрицательных чисел в порядке убывания, у положительных в порядке возрастания, исключение (-2)², так как в результате получается положительное число.
(-11)⁵; (-2)³; (-1)⁰; (-2)²; (3,5)³;
Вас заинтересует
1 год назад
1 год назад
2 года назад
2 года назад
3 года назад
3 года назад
8 лет назад
8 лет назад