Ответы
Ответ дал:
1
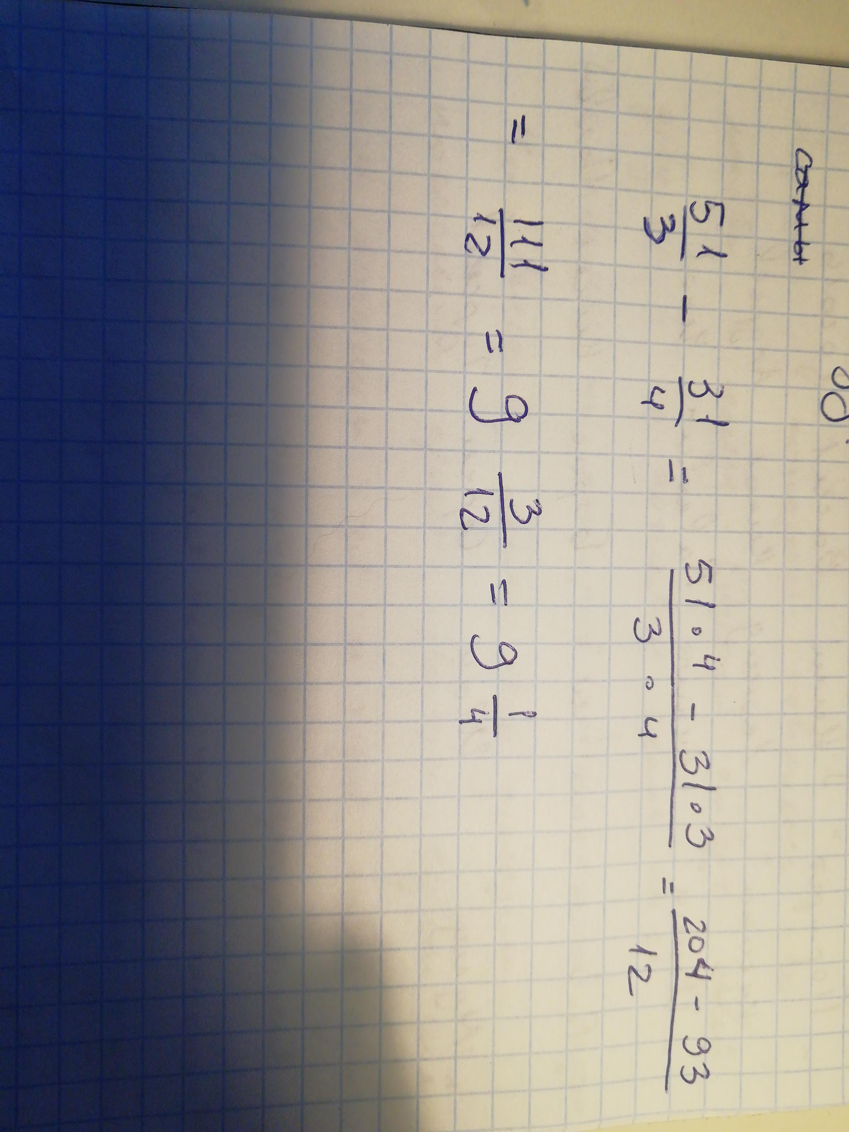
Дело в том, чтобы эти два числа сложить, нужно нижние числа привести у одинаковой цифре
В данном случае, самый простой случай это умножить друг на друга, тип 3*4=12,а у 51/3 до 12 не хватает умножения на 4,поэтому мы умножаем (51*4)/12
Как-то так
Приложения:

Ответ дал:
0
Ответ:
Вот ответ !!!!!!!!!!!!!!!
Приложения:

Вас заинтересует
1 год назад
1 год назад
2 года назад
3 года назад
3 года назад
8 лет назад
8 лет назад