Ответы
Ответ дал:
1
Ответ:
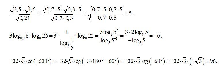
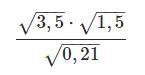
Решения в приложении.
Пошаговое объяснение:
Приложения:

Вас заинтересует
1 год назад
2 года назад
2 года назад
3 года назад
3 года назад
8 лет назад