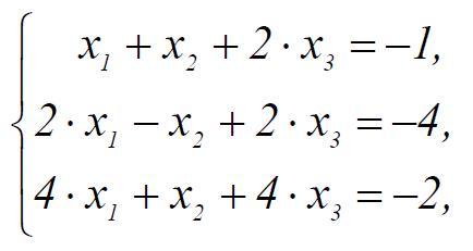
Решить систему линейных уравнений:
Приложения:

natalyabryukhova:
каким методом?
Ответы
Ответ дал:
0
Cкладываем второе и третье:
6х₁ + 6х₃ = - 6 ⇒ х₁ + х₃ = - 1
Вычитаем из третьего первое:
3х₁+2х₃=-1
{ х₁ + х₃ = - 1
{3х₁+2х₃=-1
3х₁ + 2х₃ = х₁ + х₃
2x₁ + х₃ = 0
x₃=-2x₁
Подставляем в первое и во второе
{ х₁ + х₂+2(-2x₁)=-1 ⇒-3x₁+x₂=-1
{2x₁-x₂+2(-2x₁)=-4 ⇒-2x₁-x₂=- 4
Складываем
-5х₁=-5
х₁=1
x₂=-1+3x₁=-1+3=2
x₃=-2
О т в е т. (1;2;-2)
Вас заинтересует
1 год назад
2 года назад
2 года назад
8 лет назад
8 лет назад