Ответы
Ответ дал:
0
Ответ:
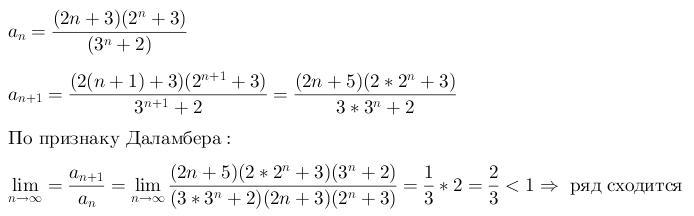
ряд сходится
Пошаговое объяснение:
Приложения:

Вас заинтересует
1 год назад
1 год назад
2 года назад
2 года назад
3 года назад
3 года назад