Ответы
Ответ дал:
0
Ответ:
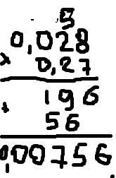
0,00756
Пошаговое объяснение:
Удачи..............
Ответ дал:
3
Вычислите 0,028*0,27
Приложения:

Вас заинтересует
1 год назад
1 год назад
2 года назад
3 года назад
3 года назад
8 лет назад