• Предмет: Математика
  • Автор: kinolog1
  • Вопрос задан 2 года назад

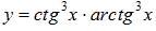
Помогите пожалуйста найти производную функции!

Приложения:

Ответы

Ответ дал: kaaraapuz3412446
0

Ответ:

ac   {}^{2} g ^{3} rt ^{2}


kinolog1: если честно, ничего не понятно
Вас заинтересует