Ответы
Ответ дал:
1
Ответ:
Приложила фото
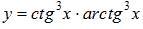
Пошаговое объяснение:
Важно понимать последовательность взятия производной. Сначала мы берем производную произведения, затем производную степенной функции, а затем производную самой тригонометрической функции.
Приложения:

Вас заинтересует
1 год назад
1 год назад
2 года назад
2 года назад
3 года назад
8 лет назад