• Предмет: Алгебра
  • Автор: rhbcnbyf1
  • Вопрос задан 11 лет назад

Светлые, добрые, милые!)

я надеюсь на вашу помощь.

 

Решить:

 

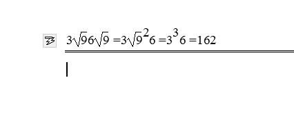
3√9 * 6√9

 

(девять под корнем третьей степени умножить на девять под корнем шестой степени)

 

5√-25 * 5√25  

 

(минус двадцать пять под корнем пятой степени умножить на двадцать пять под корней пятой степени

Ответы

Ответ дал: triolana
0
===========================
Приложения:
Вас заинтересует