• Предмет: Алгебра
  • Автор: suvaeva884p019j5
  • Вопрос задан 2 года назад

Решите уравнение относительно переменной х.
ПОЖАЛУЙСТА!

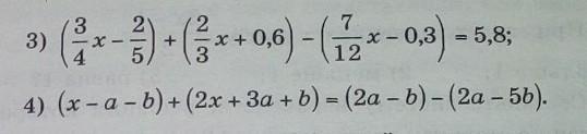
Приложения:

Ответы

Ответ дал: drakerton
1

Ответ:

3) 6,36

4) \frac{2}{3}(2b-a)

Объяснение:

3) (\frac{3}{4}x - \frac{2}{5})+(\frac{2}{3}x +0,6) - (\frac{7}{12}x - 0,3) = 5,8\\\\\frac{3}{4}x - 0,4 + \frac{2}{3}x +0,6 - \frac{7}{12}x + 0,3 = 5,8\\\\\frac{3}{4}x + \frac{2}{3}x - \frac{7}{12}x = 5,8 + 0,4 - 0,6 - 0,3\\\\\frac{9+8-7}{12}x = 5,3\\\\\frac{10}{12}x = 5,3\\\\\frac{5}{6}x = 5,3\\ \\x = \frac{53}{10} : \frac{5}{6}\\\\x = \frac{53*6}{10*5}\\\\x = \frac{318}{50} = 6\frac{18}{50} = 6,36

 4) (x-a+b) + (2x+3a-b) = (2a-b) - (2a-5b)\\\\(x-a+b) + (2x+3a-b) - (2a-b) + (2a-5b) = 0\\\\x-a+b+2x+3a-b-2a+b+2a-5b = 0\\\\x + 2x -a + 3a - 2a + 2a + b - b + b - 5b = 0\\\\3x + 2a - 4b = 0\\\\3x = 4b - 2a\\\\x = \frac{4b-2a}{3} = \frac{2(2b-a)}{3} = \frac{2}{3}(2b-a)

Удачи!

Вас заинтересует