• Предмет: Алгебра
  • Автор: DimaPro13rus
  • Вопрос задан 11 лет назад

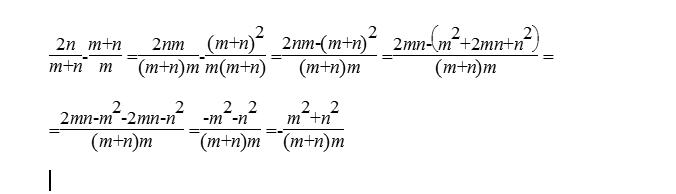
выполните вычитание 2n/m+n - m+n/m

Ответы

Ответ дал: triolana
0
=============================================
Приложения:
Вас заинтересует