• Предмет: Математика
  • Автор: ivankryzinovskij02
  • Вопрос задан 2 года назад

Помогите срочно!!!! Умоляю!!!! Нужен ход решения и ответ

Приложения:

Ответы

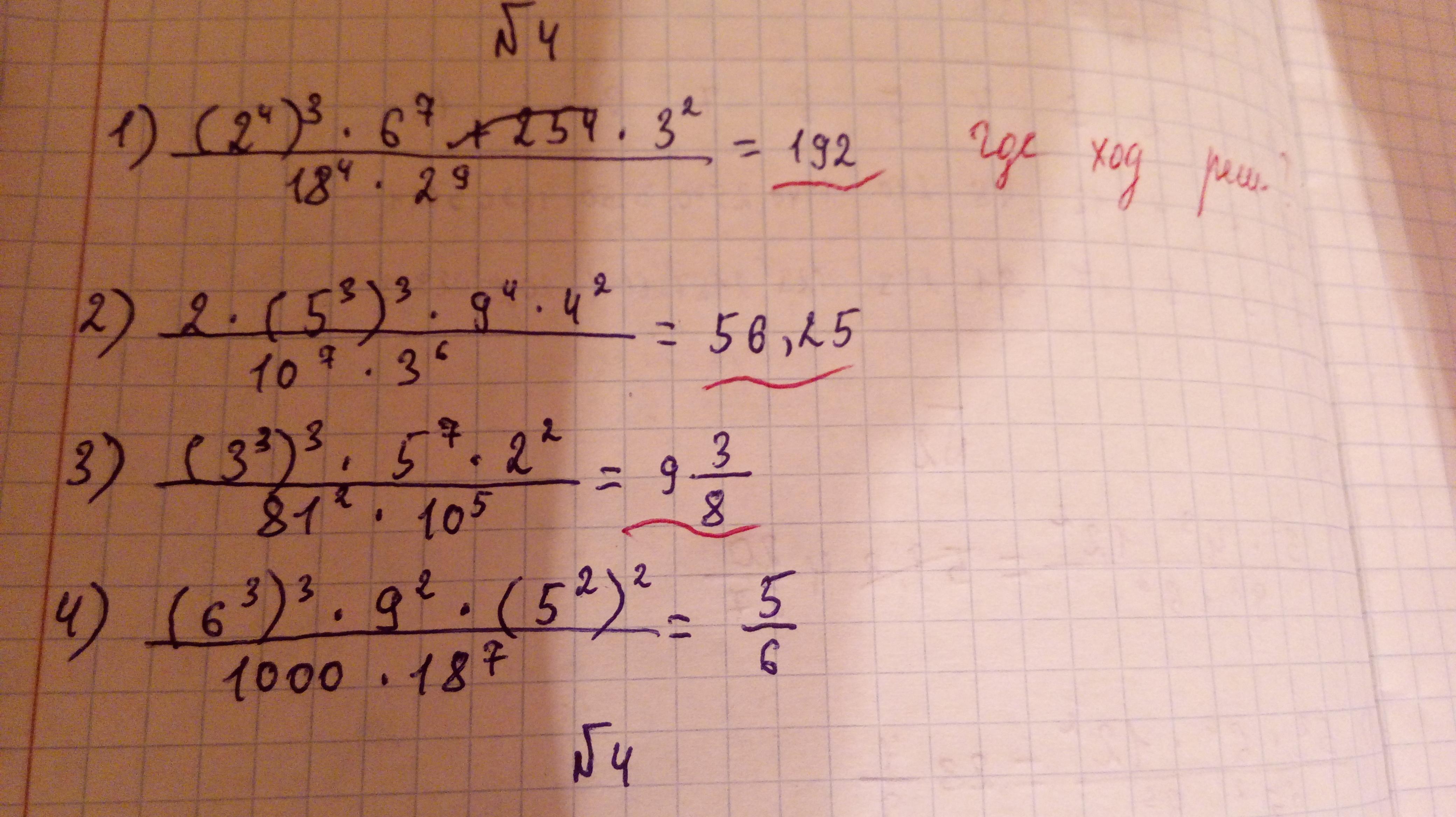
Ответ дал: m11m
1

Ответ:

Пошаговое объяснение:

!!!!!!!!!!!!!!!!!!!!!

Приложения:

ivankryzinovskij02: Спасибо тебе огромное вручил очень сильно!!!!!!!!!!!!!!!!!
Вас заинтересует