• Предмет: Математика
  • Автор: katrina3142
  • Вопрос задан 2 года назад

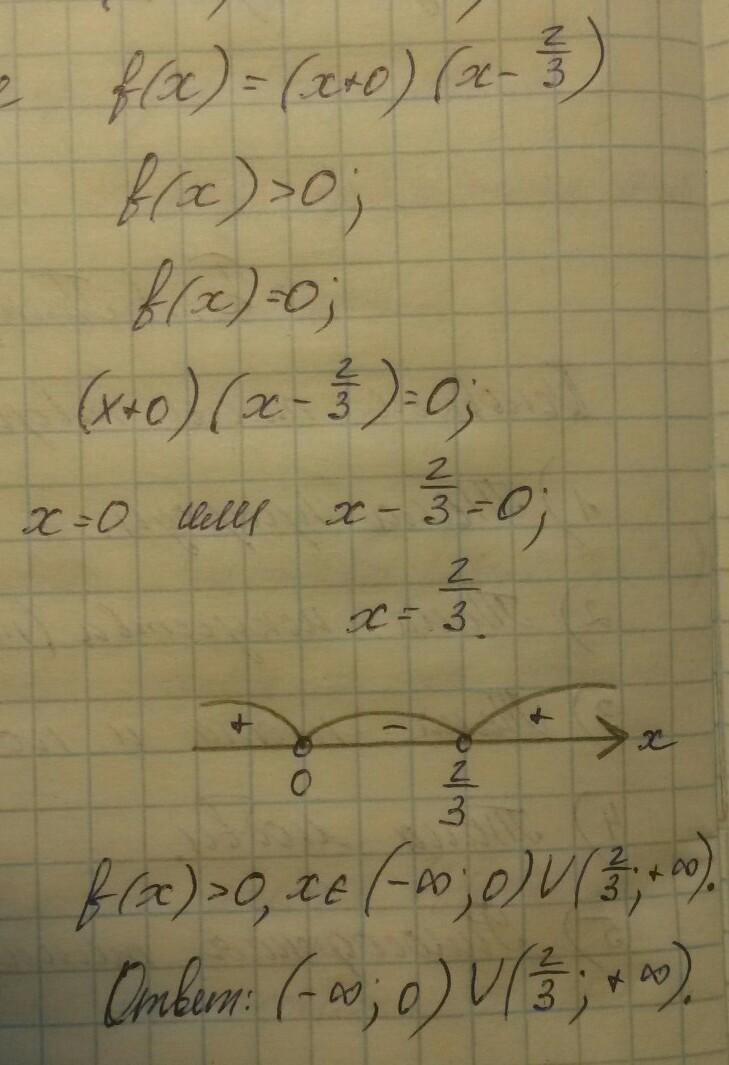
решить неравенство 3Х²-2Х>0
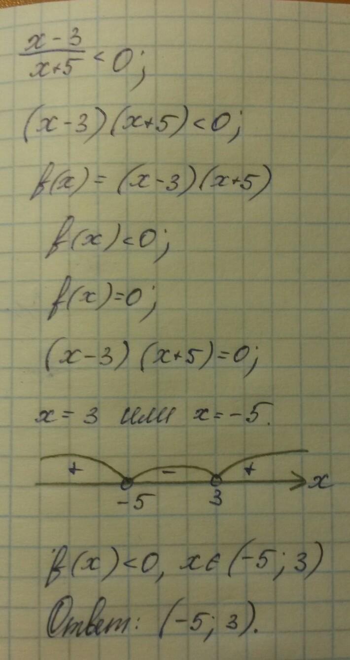
х-3/х+5 <0​

Ответы

Ответ дал: ХЕЛИКОПТЕР
1

Вот пошаговое решение на фото. Удачи :) Надеюсь, я тебе помог

Приложения:

katrina3142: в причем тут f(x)?
katrina3142: это не то...))
katrina3142: это два разных неравенства
Ответ дал: NeMo2007
1

Ответ:

надеюсь понятно объяснил:)

Приложения:

katrina3142: нет
Вас заинтересует