Ответы
                                            Ответ дал: 
                                                                                    
                                        
                                            
                                                
                                                
                                                
                                                    1
                                                
                                            
                                        
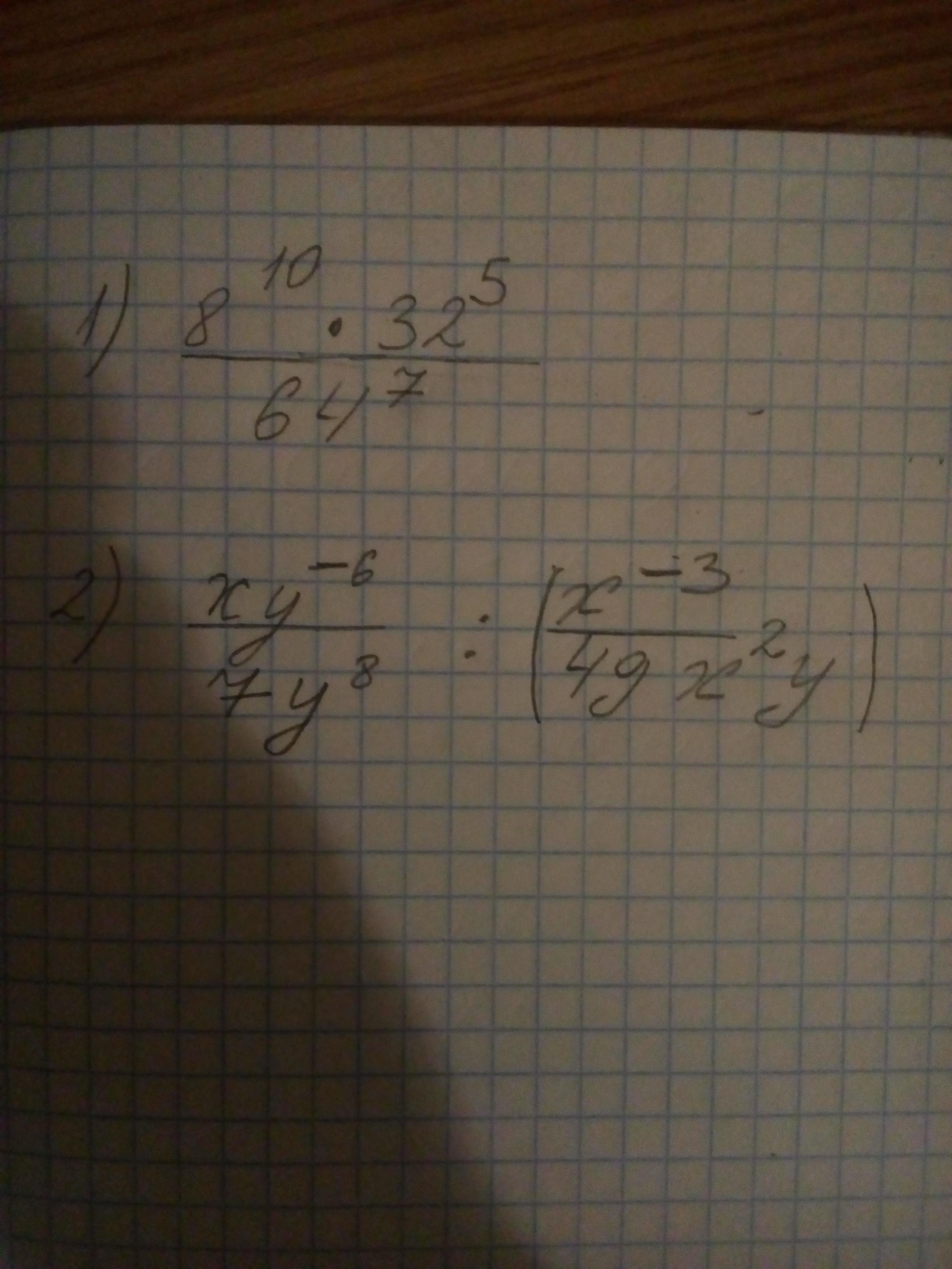
                                    1)
(8¹⁰ * 32⁵)/64⁷ = (8¹⁰ * (4*8)⁵)/((8²)⁷) = (8¹⁰ * 4⁵ * 8⁵)/(8⁷ * 8⁷) = 8 * 4⁵ = 4 * 2 * 4⁵ = 4⁶ * 2 = (2²)⁶ * 2 = 2¹³ = 8192
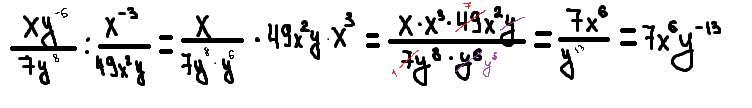
2)
Во вложении.
Приложения:
                    
                            Вас заинтересует
                
                        1 год назад
                    
                
                        1 год назад
                    
                
                        2 года назад
                    
                
                        2 года назад
                    
                
                        3 года назад
                    
                
                        8 лет назад