• Предмет: Математика
  • Автор: zaika20081980
  • Вопрос задан 2 года назад

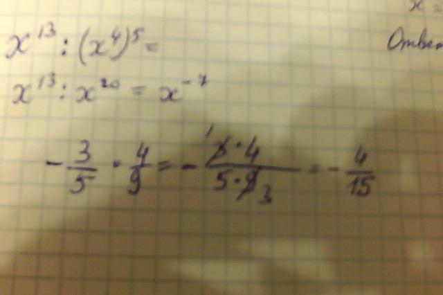
Как решить правильно ?

Приложения:

Ответы

Ответ дал: PatricijaGa
1
3 х 4=12, 5 х 9=45 ,то есть 12/45

zaika20081980: Спасибо
Ответ дал: Dmitry1986
1

Сначало минус оставим, что минус умножить плюс получим минус, а потом найти сократить. Все получено умножим. Вот готов.

Приложения:

zaika20081980: Спасибо
Вас заинтересует