• Предмет: Математика
  • Автор: voidan23
  • Вопрос задан 2 года назад

даю 40 баллов пожалуйста

Приложения:

mmb1: а можете словами ваш рисунок перевести ?

Ответы

Ответ дал: fai80
0

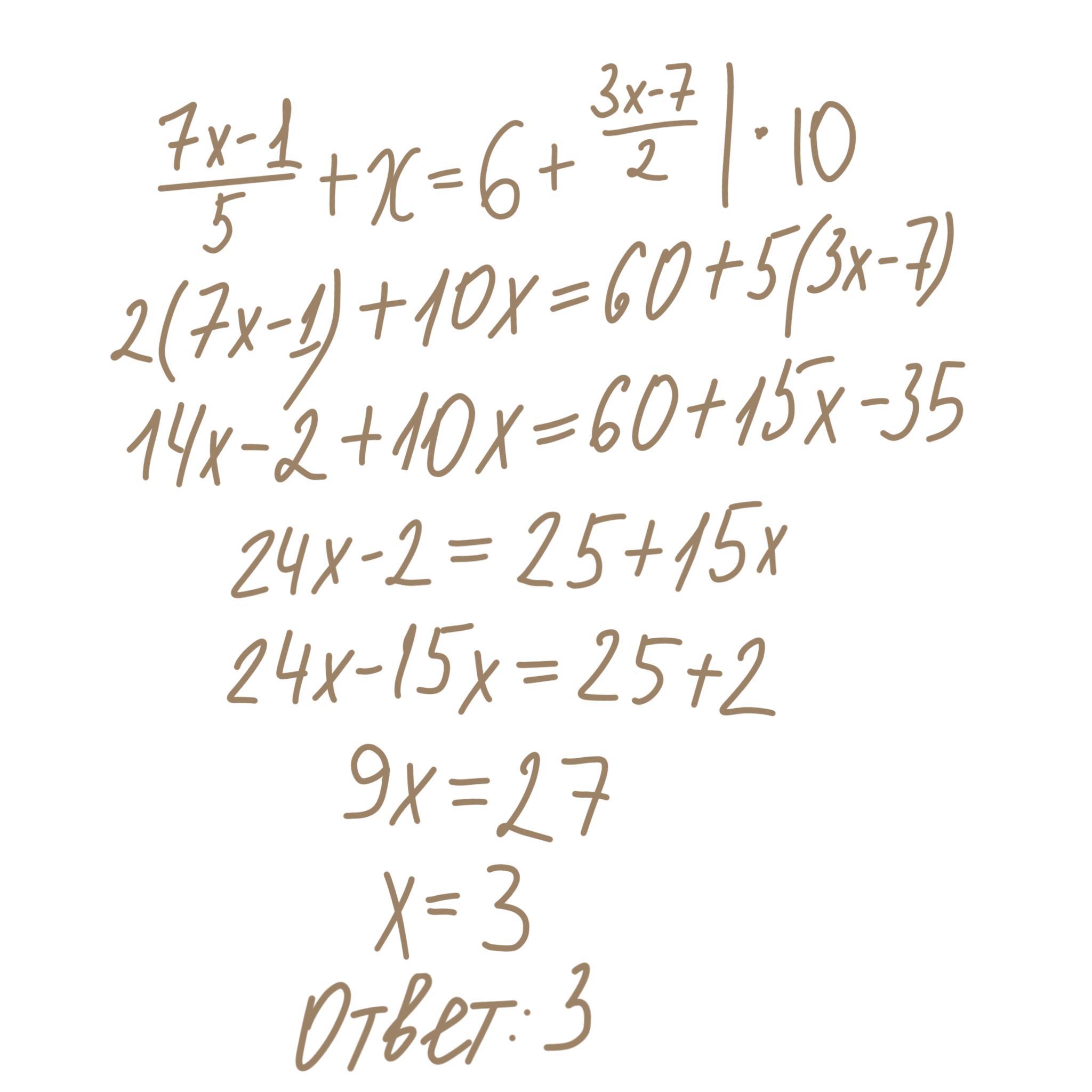
Ответ:

ответ : х=3........

Приложения:
Ответ дал: 1NaStUsHa1
0

Смотрите прикреплённый файл

Приложения:
Вас заинтересует