• Предмет: Математика
  • Автор: dacha12345636
  • Вопрос задан 2 года назад

1/3*(x-1)+1/2*(x+3)=12 помогите пожалуйста​

Ответы

Ответ дал: kruglenkonata804
0

Пошаговое объяснение:

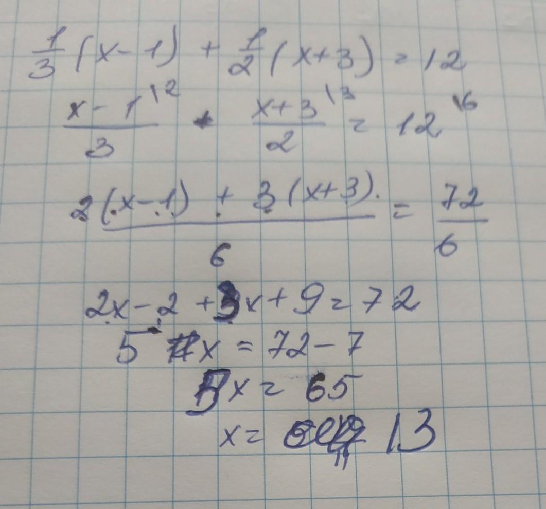
решение сможете посмотреть во вложении

Приложения:

jekadva: 2x - 2 + 3x + 9 = 72
jekadva: 5x+7=72
jekadva: 5x=65
jekadva: x=13
Ответ дал: jekadva
3

Ответ:

Пошаговое объяснение:

1/3*(x-1)+1/2*(x+3)=12

1/3x - 1/3 + 1/2x + 3/2 = 12

2/6x + 3/6x - 2/6 + 9/6 = 12

5/6x + 7/6 = 12

5/6x = 12 - 7/6

5/6x = 65/6

x= 65/6 * 6/5

x = 13

Вас заинтересует