Ответы
Ответ дал:
1
Ответ:
19.
1) а^2-10а+25=0
D=100-4*25=0
х=10/2=5
2)9х^2-12х+4=0
D=144-4*9*4=144-144=0
x=12/18=2/3
20.
1)9a^2-25c^2=(3a-5c)(3a+5c)
2)8a^3-27= (2а-3)(2^2+2a*3+3)=(2a-3)(7+6a)
Объяснение:
18 Задание - квадратное уравнение(ax^2+bx+c)
a,x,c это определенные цифры
Формулы:
D=b^2-4*a*c
Если D=0(Как в 18 задании)
x = -b^2/2a
Если D>0
Будет 2 корня:
х1= -b^2-√D
x2=-b^2+√D
Если D<0 корней нет
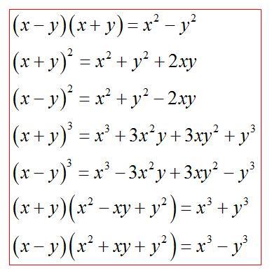
20 Задание -тупо ФСУ
Ниже приложу таблицу Формул Сокращенного Умножения,без которых такие примеры не решить
Приложения:

Nikno:
Поправлю. a,x,c - это определенные ЧИСЛА.
Вас заинтересует
1 год назад
1 год назад
2 года назад
2 года назад
3 года назад
3 года назад
8 лет назад
8 лет назад