Ответы
Ответ дал:
4
Ответ:
Объяснение:
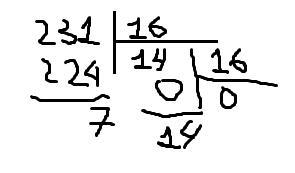
231₁₀=E7₁₆
231=14*16+7
Приложения:

ffwfwf:
А как в столбик записать?
Вас заинтересует
1 год назад
2 года назад
3 года назад
3 года назад
8 лет назад
8 лет назад