Решите уравнения !!!!
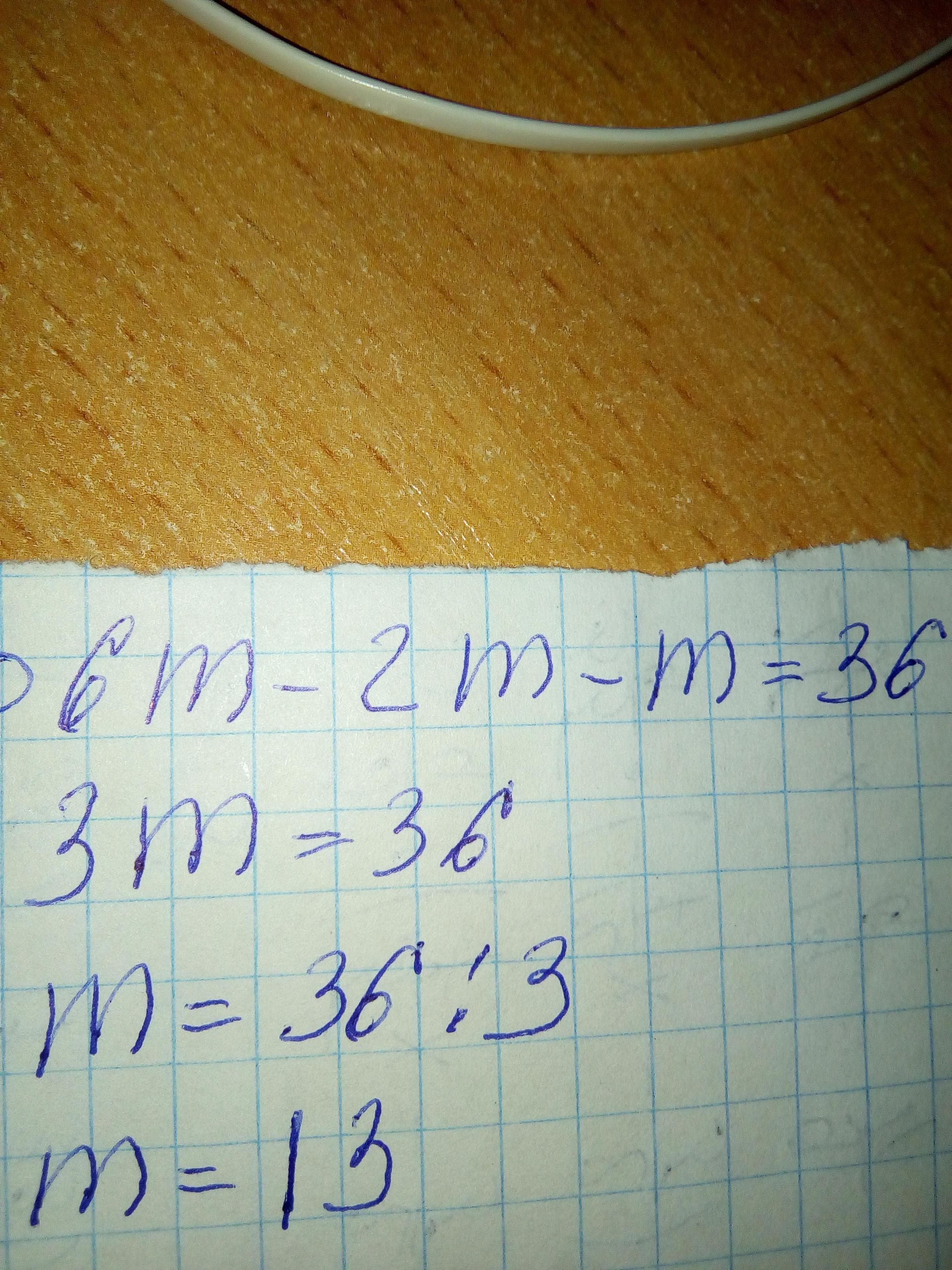
6m-2m-m=36
36n+14n+50=2000
(49c-25c+60):5=300
Решите пожайлуста!!! Срочно !!! Даю 40 баллов
Ответы
Ответ дал:
0
Ответ: надеюсь все поймёшь)
Пошаговое объяснение:
Приложения:



Вас заинтересует
1 год назад
1 год назад
2 года назад
3 года назад
8 лет назад
8 лет назад